Ford F0NN10B376AB
Lucas 54022336 24273A 24373
Magneti Marelli 63324273
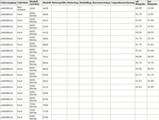
Servicing: Ford, New Holland
Terminal BS/W, Total length 167.00,Pulley w/o, Fan EFw/ battery sensor terminal. B: 11.40 C: 82.30 mm
Volt 14, Amp. 55, Terminal BS/W, Breite/Halterarm 11.40, Abs./Aufhängung 82.30, Haltearmloch 8.25,
Riemenspannloch pos. 50, Riemenspannloch M8, Radius 86.00, Radius 2 86.00, B+ Position M6, Position/B+ in min. 15,
Umlaufsrichtung CR, Anschluss Nr. 1 PL22, Gesamtlänge mm 167.00, Riemens. Ohne, ReglertypIR, Vak. Pumpe Ohne,
Bemerkung Mit Batterie-Sensor-Anschluss.

